空降24小时上门服务,3小时上门100元电话,全国24小时空降网站,500元3小时不限次数品茶

金融MBA2020级雍扬:医疗器械行业科创板和创业板企业创新绩效评价 ——基于三阶段DEA和Malmquist指数模型的实证分

2021年09月10日
信息来源:
浏览次数:
打印
清华-康奈尔双学位金融MBA2020级 雍扬
 
本文为清华-康奈尔双学位金融MBA2020级“公司金融Ⅱ”课程报告,作者是雍扬。授课教授:田轩。田轩现任清华大学五道口金融学院副院长兼金融MBA教育中心主任、金融学讲席教授、教育部“长江学者”特聘教授、国家杰出青年基金获得者、博士生导师。田轩还兼任首都党外人才高端智库专家、国家金融研究院全球并购重组研究中心主任,曾兼任中国证监会第六届上市公司并购重组审核委员会委员和世界银行咨询专家。
 
 
摘要
 
       基于现有高新技术企业创新绩效评价的研究,构建了用于评价满足科创板上市条件的企业创新绩效的DEA三阶段模型和Malmquist指数,选取了创新投入两个指标、创新产出三个指标和评价外部因素的三个环境变量,分别进行了静态和动态分析。利用该模型对医疗器械行业中的细分行业——医疗设备及耗材制造业里,次年在科创板上市的企业和已在创业板上市的成立时间和商业模式具有可比性的企业的在2018年创新绩效进行了评估和对比。结果表明,人力资源、宏观经济和政策扶持对该行业企业的创新绩效均有影响,在剔除上述环境变量、管理无效项和随机干扰项后,发现科创板未上市企业和创业板企业的创新效率都被低估,前者在上市前一年的整体外部环境更有利于创新绩效的提高,但内部管理能力和资源运用效率尚不及部分已在创业板上市的企业。而通过科创板企业上市前一年及当年的Malmquist指数分析,发现其平均创新全要素生产率有所提高,进一步分解发现规模效率指数的提高是主要原因。本研究探寻了影响企业创新绩效的内外因素,为企业提高创新绩效提出优化建议并为后续的相关研究提供参考。
 
关键词:三阶段DEA模型;Malmquist指数;科创板;创业板;创新绩效;医疗器械行业
 
Abstract
 
Based on the existing research on the innovation performance evaluation of high-tech enterprises, a three-stage DEA and Malmquist index models are constructed to perform static and dynamic analysis, respectively. The three-stage DEA model contains two innovation input indicators, three output indicators and three environmental variables. This model is used to evaluate and compare the innovation performances in 2018 of the medical device companies (medical equipment and consumables manufacturing industry in particular) later listed on the SSE STAR Market and the ones with comparable time of establishment, business model and product profile listed on the Second-board Market. The results show that human capital, macro economy and government subsidiary all have impacts on the innovation performance of medical device companies. The innovation efficiency of unlisted enterprises on the STAR Market and listed ones on the Second-board are found to be underestimated after eliminating environmental variables, management ineffectiveness and random disturbances. The overall external environment of the former is more conducive to the improvement of innovation performance in the year before listing, but the internal management ability and resource utilization efficiency are still lower than some of the enterprises that have been listed on the Second-board. Through the analysis of Malmquist index of the STAR Market enterprises in the year before their listing, it is found that their average innovation total factor productivity has been improved. Further decomposition shows that the improvement of scale efficiency index is the main reason. This study explores the internal and external factors that affect innovation performance of medical device companies, puts forward optimization suggestions for improving it and provides reference for the following research.
 
Key words:Three-stage DEA model, Malmquist Index, SSE-STAR Market, Second-board Market, Innovation performance, Medical device industry.?
 
引言
 
       我国作为世界第二大经济体,在《2020年全球创新指数报告》中创新能力仅排第十四名,根本原因在于我国科研基础薄弱、投入不足,这也造成了我国自主创新能力较低的窘境。为了有效解决“卡脖子”的问题,国家深入改革大力推动科技创新,2018年11月,中国国家主席习近平宣布在上海证券交易所设立科创板并试点注册制,该项资本市场改革举措对于我国的科技创新驱动发展具有重要战略意义。
 
       科创板和注册制改革以“借助资本的力量,实现关键核心技术自主可控,把创新主动权、发展主动权牢牢掌握在自己手中” [1] 为初心,2020年科创板上市公司实现营业收入同比增长15.56%和净利润同比增长59.92% [2] ,充分体现了科创企业的发展潜力。
 
       2021年4月16日,证监会、上交所分别发布修订后的《科创属性评价指引(试行)》《上海证券交易所科创板企业发行上市申报及推荐暂行规定》,进一步明确了科创板支持方向、行业领域、科创属性指标等要求。结合证监会对科创属性评价的进一步细化,通过分析高新科技企业的创新绩效、评估限制企业创新的内外因素,从而营造利于企业创新的政策环境有着重要的现实意义。
 
文献综述
 
       目前有多种企业创新绩效评估方法,常用的有①因子分析法,其特点是通过降维处理多指标并消除变量间相关性,得出较为客观有效的评价结果。如曹鑫等 [3] 使用该方法分析了我国医药企业创新发展能力;②灰色评价法,以灰色关联分析理论为指导,基于专家评判的综合性评估方法,其特点是主要采用非统计方法,可以处理难以定量的复杂多层次系统 [4] ,如仝艳珂 [5] 利用灰色关联分析法构建了区域创新能力评价指标体系,评价了江西省11个市的区域创新投入、产出和支撑能力;③数据包络分析法(Data Envelopment Analysis, DEA),属于非参数分析法,无需进行量化处理,可以用来评价多投入-多产出模型,减少了模型偏差和人为因素 [6] ,如楼旭明等 [7] 使用DEA模型研究了我国2013-2017年智能制造企业技术创新效率及其影响因素,熊飞等 [8] 使用该模型研究了丰台科技园42家高新技术企业的技术创新效率;④随机前沿分析法(SFA, Stochastic Frontier Approach)对技术无效进行界定,设置函数模型形式,适用于多投入-单产出的效率评价,如郝金磊等 [9] 利用2010-2013年面板数据,建立SFA模型和技术无效率影响因素模型,研究了我国西部地区高新技术企业创新效率。
 
       Fried et al.  [10]  指出传统DEA模型没有考虑环境因素和随机误差对决策单元效率(DMU, Decision-making Unit)评价的影响,并探讨了解决方案,即结合DEA和SFA模型的三阶段DEA 模型,其特点是可以剔除管理无效率、环境因素和随机误差项,更能反映DMU本身的效率。目前已有学者应用该方法用于企业创新效率评价,如江岩等 [11] 使用其对我国医药制造业产学研合作创新效率进行评价,阳杨等 [12] 使用该方法对我国2017年30个地区的高新技术企业的创新效率进行实证研究。
 
       传统的DEA模型只能做静态效率分析,无法计量不同时期效率的变化情况,为此Fare et al. [13] 将用于研究无差异曲线的Malmquist 指数与DEA相结合,提出了DEA-Malmquist 模型用于分析全要素生产率的动态变化。郭淑芬等 [14]  基于2009- 2013年的面板数据,运用该方法分析了中国31个省市的科技创新效率和历年变化情况。邢琳培 [15] 使用三阶段DEA和Malmquist指数方法对2012-2018年教育部高校科技创新效率进行静态和动态实证研究,发现我国教育部高校科技创新全要素生产率呈下降趋势的因素是技术效率和技术进步率。
 
       科创板为鼓励创新而开设,上市条件中特意对科创属性给出了指导性意见,故而分析满足科创板上市条件和已上市的企业的创新绩效对于资本市场和注册制改革至关重要。虽然目前已有诸多不同视角的关于企业创新评价的研究,但因科创板开市时间较短,尚无评价企业在科创板上市前后的创新绩效的改变和因素分析的研究。赵新奇等 [16] 应用DEA方法评价了我国74家科创板上市企业的创新绩效,但该研究并没有区分行业。不同行业的创新转化周期有较大差异,如软件行业的研发周期相对较短而生物医药行业的研发周期较长,这会使得DEA模型的应用失去了其有效前提 [17]
 
       因此,本文首先使用三阶段DEA模型对2019年医疗器械行业科创板上市企业上市前一年的创新绩效进行研究,并引入创业板上市的可比公司,探究影响该行业高新技术企业创新绩效的内外因素;其次,应用DEA-Malmquist模型对剥离环境因素后的科创板上市企业上市前后一年的全要素生产率和其效率分解进行测度,并对影响创新效率的原因进行分析。
 
研究方法
 
3.1 模型构建
 
       本研究首先应用DEA三阶段(图5)模型评价各家公司的创新绩效,然后利用DEA-Malmquist模型分析2018-2019年创新的全要素生产率变化。结合学者们之前的研究工作,构建以下模型[8-9, 11-12]:
 
3.1.1 第一阶段
 
应用投入导向的BCC规模报酬可变模型,对于任一决策单元,投入导向下对偶形式的BCC模型可表示为:
 

       BCC模型计算出来的效率值为综合技术效率(TE),可以通过CCR模型的计算,分解为规模效率(SE)和纯技术效率(PTE),该计算过程使用DEAP2.1软件完成,然后用原始投入值和软件给出的目标投入值做差得出各投入值的松弛变量。
 
3.1.2 第二阶段
 
       构造以投入为导向的SFA随机模型,以剔除管理无效率、环境因素和统计噪声对各DMU效率的影响:
 

3.1.3 第三阶段
 
       根据罗登跃 [19] 和陈巍巍等 [20] 的推导,使用以下公式分离管理无效率项:
 
       然后计算随机误差项:
 
       之后得出调整后的投入变量,取代第一阶段按的投入变量,使用DEAP2.1测算各DMU的效率。

3.1.4 DEA-Malmquist模型
 

       假设规模报酬不变,该值可以分解为技术效率变化指数(effch)和技术进步指数(techch):
 
 
       当规模报酬可变时,技术效率变化指数可以进一步分解为纯技术效率变化指数(pech)和规模效率变化指数(sech),v表示规模报酬可变:
 
 
       几个指数的关系如下:
 
       各指数与1的相对大小分别表示相应效率值的上升、不变或下降。

3.2 指标构建
 
3.2.1 指标选取
 
       目前有两种有关企业创新绩效体现方式的观点,一种创新投入和产出效率,另一种为创新产出和对企业业绩的影响 [21] 。本研究采用前者,因为创新的投入、产出到转化是一个复杂的综合过程,不宜使用单一模型去解构。
 
表1 研发绩效衡量指标构建
 
3.2.1.1 投入指标
 
       衡量创新绩效投入指标的选择按照绝大多数学者都采用的方法,分为资本和人力两项,即研发费用和研发人员数量。
 
3.2.1.2 产出指标
 
       创新产出指标选取专利数和内部研发所转化的无形资产。因为创新到转化的过程往往耗时较长,所以使用T年的投入和T+1年的产出,而专利数量的衡量使用两年的总和。
 
       具体而言,专利变量包括数据采集当年申请专利数,以及其中获权的专利数和被引证的专利数,分别用来评估创新的数量和质量。因为科创板第一批上市公司距目前仅有不到2年时间,而中国专利批准的平均时间长达4年,所以获取的授权专利数据比理论上的实际值偏低,为了降低该因素对专利质量评估的不足,引入专利被引证数据,引用1次及以上专利视为可能高质量,定义创新产出变量“有价值专利评分”为:去重后的获权专利数+被引证过的非无权专利数×0.5-因转让所得获权专利数。
 
3.2.1.3 环境变量
 
       环境变量的选取需符合Simar & Wilson [22] 提出的分离假设,即对研究对象的效率产生影响但非其主观可控。参考阳杨等 [12] 的模型,选取人力资本、宏观经济和政策支持等3个变量。创新的基础是人力资源,故选取大学本科及以上学历人数占年末从业人员的比例作为人力资本的衡量变量;衡量宏观经济的环境变量依照通常设定,使用企业注册地人均GDP,该指标可以反映地区经济发展水平及对创新产业的投入;高新技术企业往往享受政府的财政支持,因此选用计入当期损益的政府补助占研发经费的比例作为政策支持的衡量变量。
 
3.2.2 变量相关性分析
 
       因为DEA模型的基本假设为投入和产出指标呈正相关性 [17] ,因此使用Pearson相关性检验对投入和产出各变量进行两两分析,Excel运算结果如表所示。结果显示各投入变量和产出变量的相关系数均为正在0.1%水平显著相关,说明投入和产出指标存在显著的正相关关系,符合模型假设。
 
表2 创新投入和产出指标的Pearson相关性检验
 
 
4. 数据分析
 
4.1 数据来源
 
       因受未上市公司数据获取限制,选取2019年在上海证券交易所科创板上市的特定行业的公司作为实证研究对象。2019年在科创板上市的企业共计70家,上市标准均适用《上海证券交易所科创板股票上市规则》第2.1.2条第(一)项规定,即 “预计市值不低于人民币10亿元,最近两年净利润均为正且累计净利润不低于人民币5000万元,或者预计市值不低于人民币10亿元,最近一年净利润为正且营业收入不低于人民币1亿元” 。根据Wind数据库的行业级别,按照大类分为28家信息技术产业公司,16家医疗保健公司,12家工业公司,11家材料公司,2家汽车配件公司和1家食品公司。

       因为DEA使用要求各受评单位间同质性要高 [17] ,故而选取公司数量较多的细分行业,加之DEA模型无法处理有缺省的数据,剔除关键变量缺失的公司所在行业,最终选择医疗器械行业中的医疗设备及耗材生产的细分行业(即不纳入体外诊断行业)作为研究对象,共有7家公司。DEA模型的应用前提之一为样本量大于投入和产出变量数的和 [17] ,故另外选取在创业板已上市的7家医疗设备及耗材生产公司,选取标准首先需满足上述的市值即净利润和营业收入的硬指标,其次产品和服务的同质性 和成立时间的和科创板公司具可比性,作为补充研究对象(表3)。
 
表3 医疗器械行业7家科创板企业和7家创业板企业的基本信息
 
 
       科创板和创业板企业的研发投入和产出相关的企业人力情况和财务数据,包括2018和2019年的研发人员人数、本科及以上学历员工数、员工总数、研发费用、营业收入、计入当期损益的政府补助、2019和2020年内部研发形成的无形资产和总资产来源于招股说明书、2018年、2019年、2020年年度报告,以及国泰安CSMAR数据库。
 
       专利产出的数据来源于中国及多国专利审查信息查询网和商业数据库大为INNOJOY ,检索对象为研究对象及其全资子公司 。如前所述,研发的成果输出和转化具有时滞性,故而专利申请时间选取2018年和2019年两年,并逐个确认每个专利截至2021年4月16日的法律状态,包括获得专利权还是无效或者转让等,此外利用大为数据库确认研究对象2018、2019及2020年内所申请专利的被引证情况。
 
       2018年各企业注册地所在城市的人均GDP来源于国家统计局和各地市政府当年的国民经济和社会发展统计公报(表3)。
 
4.2 描述性统计学分析
 
       如表7-1所示,2018年14家企业研发人员占比平均为20.90%,其中科创板平均为21.74%大于创业板的20.05%,差异没有统计学显著性,研发人员占比最多的公司为科创板企业祥生医疗(688358.SH)的32.80%;但本科及以上人员占比平均更高的是创业板的51.70%,科创板的该值为39.50%。2021年4月16日,证监会公布《关于修改科创属性评价指引(试行)的决定》,新增研发人员占比超过10%的常规指标,这14家企业中仅有科创板企业凯利泰(300326.SZ)未能达到该指标,不过2019年全部企业都超到了此阈值。
 
       2018年研发费用占营业收入的比值平均为12.49%,科创板平均为14.90%大于创业板的10.07%,研发费用占比最高的公司为科创板企业赛诺医疗(688108.SH)的34.17%。研发投入的两个指标分别如图1和图2所示,虽然创业板7家企业的整体投入规模都要大于科创板的7家企业,但科创板企业上市前一年的投入比值却高于创业板。
 
       政府补助在研发费用中占比的平均值为18.64%,创业板的23.11%几乎是科创板14.17%的两倍,可见在政府扶持层面,已上市的创业板公司获得的支持相对于未上市企业更多。
 
图1 2018年14家医疗器械企业研发人员数量和占比气泡图(气泡大小代表研发人员数量)
 
图2 2018年14家医疗器械企业研发费用和占当年营业收入比值气泡图(气泡大小代表研发费用)
 
       从专利申请数量来看(表8&9),2018-2020年专利申请数最多的是创业板公司迈瑞医疗(300760.SZ),排第二的是开立医疗(300633.SZ),授权数最多的也是迈瑞医疗,而被引证数最多的是开立医疗。
 
4.3 三阶段DEA实证分析
 
4.3.1 第一阶段创新绩效分析
 
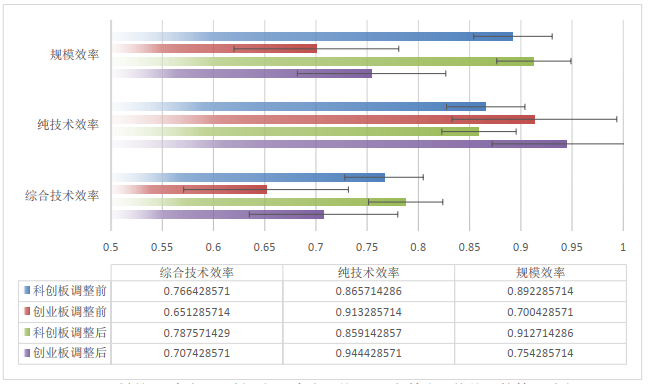
       将两个投入指标和三个产出指标利用Excel按照规定格式复制到DEAP2.1软件的DTA文件中,设置INS脚本文件,运行结果如表4所示。14家企业技术效率平均值为0.709,纯技术效率平均值为0.890,规模效率值为0.796。科创板上市前企业技术效率、纯技术效率、规模效率平均值分别为0.766、0.866和0.892,创业板的已上市企业的三个平均值分别为0.651、0.913和0.700(图3)。说明从资源配置的综合角度考量,2018年科创板这7家未上市企业的创新绩效优于已上创业板的7家对标企业。
 
表4 数据调整前后14家医疗器械企业的创新效率值
 
       科创板的祥生医疗(688358.SH)和创业板的冠昊生物(300238.SZ)和凯利泰(300326.SZ)技术效率、纯技术效率、规模效率均为1,即处于效率前沿,它们规模收益不变;乐普医疗(300003.SZ)、开立医疗(300633.SZ)和迈瑞医疗(300760.SZ)规模收益递减,其他都是规模收益递增。
 
4.3.2 第二阶段SFA回归分析
 
       将第一阶段的投入变量的松弛变量作为因变量,环境变量作为自变量,构建6个SFA回归方程,使用Frontier4.1软件以最大似然法进行系数估计。分别运行了10次和29次后,得出了SFA分析结果(表5)。3个环境变量的LR单边检验均达到1%显著性水平且?等于1,说明原模型中环境因素和管理无效率对结果造成干扰,有必要通过公式对原始投入值进行调整,选用SFA模型合理 [23]
 
表5 投入变量和环境变量的SFA回归结果

       若软件估算出的自变量的回归系数为正,表示该环境变量增加造成创新投入冗余;反之,说明该环境变量增加导致冗余减少,促进创新效率的提高 [24] 。根据变量估算值和显著性水平,观察到以下结果:
 
       1)人力资本相关环境变量对于研发人员松弛变量的系数为负,对研发费用松弛变量的系数为正且均达到1%的显著性水平,即高学历员工占比高会减少研发人员投入冗余但会造成费用的投入冗余。造成该现象的原因可能为高学历的研发人员业务水平更高,工作效率更高;但高学历水平员工的薪资往往更高,从而导致研发费用的支出加大;
 
       2)宏观环境变量对于研发人员松弛变量的系数为正,对研发费用松弛变量的系数为负且均达到1%的显著性水平,说明企业所在地的人均GDP加大会增加研发人员的投入冗余、减少研发费用投入冗余。原因可能是经济发达地区更容易招聘到研发人员从而造成人员投入浪费,而此类地区的研发水平相对更高,在费用的使用上更为高效;
 
       3)政策支持相关变量对于研发人员和研发费用松弛变量的系数均为负且达到1%的显著性水平,说明政府财政支出增加可减少企业研发费用投入冗余,而且相应的人才补助可以调动研发人员的工作积极性,从而减少人员投入冗余。
 
4.3.3 第三阶段调整后DEA模型结果
 
       利用Excel的运算功能,依据前述公式分离管理无效率项、计算随机误差项,从而算出调整后的投入变量。然后再次运行DEAP2.1,得出调整后的效率值(表4)。14家企业调整后的综合技术效率、纯技术效率、规模效率的平均值为0.748、0.902和0.833,都有小幅上调,说明环境因素造成企业创新绩效被低估(图3)。
 
       规模效率反映了实际与最优生产规模的差距,纯技术效率指代在最优规模下的生产效率,而综合技术效率是对各DMU的资源配置能力和使用效率等的综合衡量 [25]  。在剔除环境变量、管理无效项和随机干扰项后,所选创业板企业自身的规模效率不及科创板未上市企业;而创业板企业的生产效率被低估,后者的被高估;虽然小幅收窄,前者的综合效率还是劣于后者。科创板未上市企业提高创新绩效的主要限制因素是纯技术效率,而创业板企业的限制因素主要是规模效率。
 
图3 科创板7家企业和创业板7家企业的DEA各效率平均值调整前后对比

       心脉医疗(688016.SH)和开立医疗(300633.SZ)在调整后因规模效率上调而处于效率前沿(图7),说明该企业管理效率高,但环境因素一般。祥生医疗(688358.SH)、冠昊生物(300238.SZ)和凯利泰(300326.SZ)在调整前后都处于有效前沿,说明这三家企业的资源配置合理,且投入产出效率没有明显受到环境影响。
 
       正海生物(300653.SZ)在调整前后都是技术效率值最低企业,该企业有47名研发人员,占比18.36%,研发费用1,663.36万元,占营业收入7.72%,2018年政府补助301.8万元占研发支出的18.14%,但2018和2019年两年只有一项专利申请记录,且来源于东华大学的转让而非自主研发,不符合计入模型的要求,2019年内部研发形成的无形资产为0。
 
       就综合技术效率而言,大多企业因未剥离环境因素而被低估(图4),造成该结果的主要原因是规模效率值的改变(图7),这说明环境因素主要作用于规模效率。除了宝莱特(300246.SZ)以外,所有的创业板企业的纯技术效率都达到了DEA有效,优于科创板未上市企业,而创业板企业的规模效率达到DEA有效的比例也大于后者,说明上市企业的平均管理和技术水平优于未上市企业。
 
       除了心脉医疗(688016.SH)和祥生医疗(688358.SH)达到规模收益不变外,其他科创板企业都表现为规模效率递增,它们的规模随着上市扩大,创新绩效很可能进一步提高。而创业板的乐普医疗(300003.SZ)和迈瑞医疗(300760.SZ)表现为规模效率递减,即由于企业生产规模过大,管理效率降低且生产关系协调难度加大 [25] ,使得生产效率下降。这说明已上市企业应优化资金使用效率,降低不必要的投入冗余。
 
图4 14家企业第二阶段调整前后的综合技术效率
 
4.4 Malmquist指数分析
 
       为了探寻科创板企业上市前后创新绩效的改变,应用2018-2019年的投入和2019-2020年的产出数据做动态分析。将上述步骤剥离环境变量和管理无效率的投入值和次年的产出值输入DEAP2.1,使用Malmquist功能计算2018-2019年的全要素生产率及其分解效率值的变化:
 
表6 2018-2019年14家医疗器械企业创新绩效的Malmquist指数及分解
 
       2018-2019年,科创板企业上市后的创新Malmquist指数上升了4.3%,而创业板企业下降了6.3%。经初步分解,科创板企业上市后效率变化指数和技术进步变化指数分别上升了2.2%和2%;而创业板企业的效率变化指数下降了21.4%,技术进步变化指数上升了19%,可见技术效率的下降是创业板企业创新绩效下降的主要因素。
 
       进一步分解,科创板企业上市后的纯技术效率变化指数下降了0.2%,而规模效率变化指数上升了3.1%,可见上市改善了其创新的规模效率,但纯技术效率起到了阻碍作用;创业板企业的纯技术效率指数和规模效率变化指数分别下降了14.9%和7.6%,从而造成了效率变化指数的大幅下降。
 
5. 结论与讨论
 
       本文基于三阶段DEA模型,对2018年第二年在科创板上市的7家医疗设备及耗材生产企业,和已在创业板上市的成立时间、产品线和商业模式具有可比性的另外7家同一细分行业企业的创新效率进行了评估和对比。经对比发现科创板上市前企业的研发人员和研发费用虽然规模不及创业板上市企业,但是两者的占比都要高于创业板,此发现符合科创板的定位。
 
       第一阶段结果显示,科创板企业的创新绩效水平的规模效率和技术效率优于创业板,但纯技术效率劣于后者(图3)。而剔除环境变量、管理无效项和随机干扰项后,科创板未上市企业和创业板企业的创新综合效率均上升,即第一阶段都被低估(图4)。
 
       人力资源、宏观经济和政策扶持对医疗器械行业企业的创新绩效有显著影响。其中,高学历水平员工占比越高,人员投入冗余越少,但研发费用冗余越多;企业所在地的宏观经济水平越高,研发费用投入冗余越少,但研发人员投入冗余越高;而政府财政支持力度加大,有助于减少研发费用和研发人员的冗余。科创板上市企业在上市前一年的整体外部环境更有利于创新绩效的提高,但内部管理能力和资源运用效率尚不及部分已在创业板上市的企业。
 
       对科创板企业上市前一年和上市当年的数据应用Malmquist指数模型对第三阶段的创新效率指标投入产出进行分析,发现2018-2019年,科创板企业上市后的创新Malmquist指数上升,经分解可知虽然技术进步变化指数和规模效率变化指数上升,但纯技术效率变化指数下降了0.2%。可见随着这一批企业登陆科创板,上市后充裕的现金流和治理的规范水平提高,其规模效率有所提高,但纯技术效率却没有提高。
 
       综上,建议高新技术企业优化人力资源和资金配置,提高创新效率,尤其是处于规模收益递增的企业应利用资本工具进一步扩大规模,提高创新综合效率。此外,处于人均GDP高水平区域的企业要格外注重人力资源的有效配置,减少人员投入冗余。而各地政府的大力扶持对于企业降低研发费用和人员投入冗余有着直接促进作用。而科创板上市企业应该合理利用资本的力量,除了规模效率,更应关注纯技术效率的提高。
 
       创新具有周期长,不确定性高、失败率高的特点 [26] ,而科创板的设立旨在促进企业科创实力。本文通过构建三阶段DEA模型的实证分析,比较了符合科创板上市条件企业和已在创业板上市企业的创新绩效水平,以期探寻企业优化创新效率的内外因素,并为后续的相关研究提供一定参考。

       本研究仅纳入了医疗器械行业中的细分行业——医疗设备及耗材生产企业,保障了各个DMU之间的同质性,使其具有可比性,并同时进行了静态和动态分析。此外,创新性地引入了“有价值专利评分”指标,针对专利授权时间较长、研究时点较近的情况提供了衡量创新质量的一种量化方法,并通过手动核对确保每一家企业的全资子公司都纳入变量中,并逐个确认专利的法律状态使得被纳入的专利仅为内部研发所得。
 
       本文也存在着几点不足和改进空间。一是样本数量较少,因为科创板上市企业目前共计不到三百家,其中医疗器械行业的企业仅数十家;二是模型设定不足,如本文只将专利设定为技术产出指标,而如医疗器械注册证、核心技术等其他指标同样也是创新过程的重要产出。第一点可以随着后续更多企业登陆科创板后,进行更全面的数据分析而改良,第二点可以通过进一步优化指标体系来改善,从而能够更加全面地分析和比较特定行业的科创板上市企业的创新绩效水平。
?
参考文献
 
1.柏可林. 科创板晒2020年成绩单232家上市公司共计营收净利润双增长 [EB/OL]. http://finance.sina.com.cn/roll/2021-03-01/doc-ikftpnnz0458168.shtml. 2021-03-01.
2. 阎岳. 科创板的初心与使命[EB/OL]. https://baijiahao.baidu.com/s?id=1640517815906808342&wfr=spider&for=pc. 2019-07-31
3. 曹鑫,阮娴静. 基于因子分析法的我国医药企业创新发展能力评价研究[J]. 中国药房, 2020, 31(16):1931-1937. 
4. 常浩然, 李晓静. 基于财务视角的企业技术创新绩效评价综述[J]. 商业会计,2015(22):49-51.
5. 仝艳珂. 基于灰色关联分析法的区域创新能力评价研究——以江西省11市为例[J]. 科技经济市场, 2020(2):62-64.
6. 韩利娜. 关于DEA模型中若干问题的研究[D]. 重庆:西南大学,2008. 
7. 楼旭明,徐聪聪.智能制造企业技术创新效率及其影响因素研究[J].科技管理研究,2020,40(4):1-7.
8. 熊飞,郑茜,唐葆君. 基于DEA 方法的高新技术企业创新效率研究——以丰台科技园为例[J] .中国管理科学,2012, 20 (S2): 696 - 701.
9. 郝金磊,姜诗尧. 西部地区高新技术企业创新效率研究[J] .西安电子科技大学学报(社会科学版) ,2015, 25 (5): 52 - 57.
10. Fried, Harold & Lovell, Ca & Schmidt, S. & Yaisawarng, Suthathip. Accounting for Environmental Effects and Statistical Noise in Data Envelopment Analysis[J]. Journal of Productivity Analysis, 2002, 17. 
11. 江岩, 曹阳. 我国医药制造业产学研合作创新效率评价——基于三阶段DEA模型[J]. 科技管理研究, 2021,41(2):54-60. 
12. 阳杨, 田逸飘, 郭佳钦. 基于三阶段DEA模型的高新技术企业创新效率研究[J]. 科技和产业, 2021, 21(2): 11-18.
13. Fare R, Grosskopf S, Norris M. Productivity Growth, Technical Progress, and Efficiency Change in Industrialized Countries [J]. American Economic Review, 1994, 84 (5):1040-1044.
14. 郭淑芬,张俊. 中国31个省市科技创新效率及投入冗余比较[J]. 科研管理, 2018, 39(4): 55-63.
15. 邢琳培. 基于三阶段DEA模型的教育部高校科技创新效率评价[J]. 统计与管理, 2021, 36(2):124-128.
16. 林新奇,赵国龙. 基于DEA方法的我国科创板企业创新绩效研究[J]. 科技管理研究, 2021, 41(01): 54-61.
17. 薄乔萍. 绩效评估之资料包络分析法 [M],台北:五南文化事业股份有限公司, 2005
18. Charnes, A., Cooper, W. W. and Rhodes, E. Measuring efficiency of decision-making units[J]. European Journal of Operational Research, 1978, 2: 429–444
19. 罗登跃. 三阶段DEA模型管理无效率估计注记[J].统计研究, 2012, 29(04):104-107.
20. 陈巍巍, 张雷, 马铁虎, 刘秋繸. 关于三阶段DEA模型的几点研究[J].系统工程, 2014, 32(09): 144-149.
21. 李庆婕. 董事会人力资本、研发投资效率对企业成长性的影响研究——以高技术制造业为例[D]. 山东财经大学, 2019.
22. Simar, L. and Wilson, P. W. Estimation and inference in two-stage semi-parametric models of production processes[J]. Journal of Econometrics, 2007, 136: 31-64.
23. 刘营,李存金.我国产学研协同创新效率评价研究:基于全国十年间行业数据[J].科技和产业,2014, 14(3): 58-63.
24. 刘小军, 杨敏. 高端装备制造业上市公司经营绩效测评[J]. 科技和产业, 2019, 19(12):81-88.
25. 李健英,慕羊.基于DEA方法的我国上市企业创新绩效研究[J].科学学与科学技术管理,2015,36(2): 111-121.
26. 田轩. 科创板和注册制的成功关乎我国技术创新的发展[J]. 清华金融论,2019(6):14-18.
?
附录
 
图5 DEA三阶段模型示意图
?
表7-1 2018年14家医疗器械企业研发投入、产出和政府支持的总体状况
 
 
表7-2 2019年14家医疗器械企业研发投入、产出和政府支持的总体状况
?
表8 14家医疗器械企业2018年和2019年两年的专利产出状况
?
表9 14家医疗器械企业2019年和2020年两年的专利产出状况
 
 图6 14家企业第二阶段调整前后的纯技术效率
 
 图7 14家企业第二阶段调整前后的规模效率
 

 
本文系学生个人观点,不代表清华大学五道口金融学院及金融MBA教育中心立场,转载请联系作者授权。

近期活动

主站蜘蛛池模板: 原阳县| 突泉县| 额济纳旗| 大冶市| 梨树县| 资溪县| 贵定县| 东乌珠穆沁旗| 大理市| 华蓥市| 西丰县| 和田市| 云龙县| 西和县| 德兴市| 仁怀市| 垦利县| 桃江县| 松潘县| 通江县| 丁青县| 泰兴市| 巴彦县| 利津县| 贺州市| 根河市| 绵竹市| 长宁县| 古丈县| 新津县| 乾安县| 清远市| 西林县| 罗定市| 乌拉特中旗| 前郭尔| 安徽省| 左云县| 白朗县| 克东县| 汪清县|