
从左至右:
黄欣桐、黄震昕、马珂、商海轮
(按姓氏拼音排序)
本文为清华-康奈尔双学位金融MBA2022级《金融科技I》课程报告,作者是第二组:黄欣桐、黄震昕、马珂、商海轮。授课教师:汤珂。汤珂现任清华大学社会科学学院经济所教授、所长。主要研究方向为商品市场(包括数据要素)、数字资产和金融科技。?
近期,马斯克以440亿美元的价格私有化了Twitter,鉴于Twitter是一个世界性影响力的社交平台,经历了上市及私有化,有较为透明的数据和代表性,其数据资产的确权和定价非常值得研究。本文以Twitter为例对数据资产的确权和定价进行讨论,试图来揭示社交平台类互联网企业共性的数据资产相关特性,其中对于定价方法我们着重研究其市场化定价的逻辑。
第一章 Twitter的数据资产
数据资产已成为数字经济时代中最重要、最活跃的生产要素,也成为大数据时代中企业竞争力的重要来源。互联网企业的数据资产包括业务生产过程中的所有数据,如用户基本信息、发文/发帖、用户浏览信息以及社交关系组成。互联网企业通过收集用户数据并分析数据为每位用户贴上标签,比如兴趣爱好、社交网络、行为习惯等,再对用户进行分类以投放不同的广告、推送或出售数据给对应需求的公司。
据统计,Twitter平均每秒新发6,000条推文,平均每天发文5亿条。Twitter在2021年年报中披露,2021年平均可货币化日活跃用户(mDAU)为2.17亿。 mDAU为2018年Twitter在年报中提出的概念,即剔除掉无法变现的用户之后的日活跃使用量。Twitter表示mDAU值对其营业收入起着决定性的影响,包括广告收入和近些年迅速发展的数据授权(Data Licensing)。数据授权业务区别于传统的广告业务,将Twitter用户的公开数据出售给不同的公司已实现数据的直接变现。由此可见,无论是任何一种形式上的收入,对于社交网络公司而言,通过加工处理过的用户数据成为了企业最核心竞争资源。
第二章 Twitter的数据权属
(一)企业数据的权属确定
在当今的互联网时代,互联网平台型企业在便利地服务用户之余往往积累了超大规模的数据,这些数据包含了个人数据如用户数据、行为数据、业务数据,也可能包含内容类数据如商品、视频、音频数据。这些数据被企业所掌握控制,但实际大量内容都由用户产生,企业并不拥有所有权,所以厘清企业数据归属是当务之急。在大数据时代,企业常常将个人原始数据进行加工、整合、分析、挖掘以形成新的有价值的数据产品或服务。举例来说,某个用户在Twitter平台发布的推文、地点、设备信息本身价值不大,但Twitter利用其手里掌握的众多用户的浏览数据挖掘出新的用户需求信息,用以进行精准市场营销或开发新产品或服务。这两类数据的价值差距非常大。
在普华永道的《数据资产化前瞻性研究白皮书》里提出企业数据的权属应该分为五项:所有权、使用权、收益权、数据采集权、处分权。所有权即对数据的例如享用、使用、编辑、修改、出售、出租、赠送、共享、限制访问等;使用权,是从物权派生出来的一项权利,数据采集者采集信息后,通过使用信息获得信息差,从而达到其经济收益的目的;收益权,数据财产所有人应被允许对其投入资源所获取的数据获得利益,这可能是来自于企业对数据的使用所产生的收益,也可来自于数据交易、进一步加工分析处理等行为所获得的收益;数据采集权是数据产生者决定是否许可第三方对其产生的数据进行采集的权利;处分权也是基于物权法的处分权能所产生的权利,例如销毁数据。
(二)企业中个人数据的保护和权属
什么是个人数据?近年来随着社会对数据保护意识的增加,各国相继出台了个人数据保护相关的法律,其中最为完善的当属欧盟出台的GDPR。在GDPR的规范下,对个人数据的定义是非常清楚,即PII(personal identifier Information)。如果可以通过该数据定位到用户,则该数据被认为是PII。
在GDPR的约定下,个人享有的权利为访问权、更正权、被遗忘权、限制处理权、可携带权、反对权,以及不受制于自动化决策的权利。对应到企业数据的权属上,该个人数据的所有权应该归属个人,个人有权访问获取其个人信息、有权要求数据控制者对其不正确的个人数据做出更正;该个人数据的处分权应该归属个人,数据主体有权要求控制者删除其个人数据,控制者有义务及时删除个人数据;该个人数据的数据采集权归属于个人,企业采集该部分数据必须征得个人同意后采集的数据,且需要采用自动化采集的方式;该个人数据的使用权和收益权应该归属个人,而处理脱敏PII后的数据经个人授权同意后,企业对处理后的数据享有使用权和收益权,可以将这部分数据用于个性化推荐、广告营销、输出非个人相关的数据报告等。
(三)Twitter数据的权属
Twitter是一个社交网络平台,其产品是任何人都是发140字的短信息,其最大的特点是用户生成的推文及推文中的视频、图片等信息并没有权限限制且为可以选择匿名,所有人都可以访问并评论。根据Twitter及用户双方签署的隐私协议。我们可以看到Twitter禁止了广告客户基于PII数据投放定向广告,承诺了存储和传输中的数据安全,用户可以查看广告商掌握的信息,个人信息可被用于个性化推荐和广告营销。
Twitter的数据包含以下个人信息(邮箱、IP地址等)、行为轨迹、推文(包含文字、视频、声音等)、推文评论、社交关系(关注及被关注)、喜欢等。这些数据暂无明确法律上的明确权属确定,我们根据以上原则可以推断:个人数据(例如个人信息、行为轨迹)的各项权属归属于个人,个人享有所有权、使用权、收益权、数据采集权、处分权;非个人数据包含推文、推文评论、社交关系、喜欢,这些数据在隐私条款中得到了用户的授权,所以在数据脱敏的情况下,企业享有使用权、收益权、数据采集权。
第三章 数据资产定价的三种方法
虽然数据资产已经成为重要的商业资源,但由于数据资产是近年以来产生的新的越来越重要的资产形式,目前对数据资产的估值在学术界及市场上仍处在一个不断探讨的阶段。中国资产评估协会在2019年制定的《资产评估专家指引第9号——数据资产评估》中明确,数据资产评估方法目前常用的依旧为传统的成本法、收益法、以及市场法。
(一)成本法:主要关注数据生产过程中产生的各项成本,将提取数据和加工数据的成本视为数据资产的价值,包括已产生和对未来所需成本的预估,比如硬件、软件、人工、数据的运营和维护等。虽说成本法操作起来相对简单,所产生的费用也相对透明,但是数据资产本身的价值以及可以带来的收益远远超过数据生产过程中所产生成本。成本法无法弥补成本和价值之间的差异,此方法会导致数据资产的价值严重低估。
(二)收益法:即通过预期数据资产未来产生的收益进行价值评估。此方法适用于未来预期收益、盈利模式、风险较为确定且可以相对准确预估的资产。但与传统资产评估不同的是,数据资产具有价值易变性,即数据资产易受时刻收到数据容量、时效程度以及应用场景等因素的影响,其价值更易发生变化。其次,若数据需求方要求对预估收益采用偏保守型的预估,那数据资产的评估价值可能会大幅度低于其真实价值。综上所述,收益法受主观影响更大,评估难度较大。
(三)市场法:参考市场上近期或往期数据资产的成交价格,通过类比分析预估标的的价格。用此方法评估数据资产价值更为公允,更容易被买卖双方接受。但市场法对市场环境的要求较高,更加适用于活跃、交易频繁的数据市场。在进行市场法评估值,需确认是否可以收集到可比资产的关键指标参数、属性等。但目前相关交易场所、交易制度尚未成熟,无法提供大量的交易信息。我国数据交易市场虽不断扩张,但整体上仍处于交易规模小、频率低、收入少的阶段。
市场法的估值计算方法: 评估价值=可比数据资产成交额*Σ修正系数
由于数据资产的无形性、形式多样性、零成本复制性、以及价值易变等特点,使数据的价值很难量化。以上三种估值方法均无法对数据价值进行准确的评估。相较而言,市场法可为数据资产提供相较公允、更易接受的价值评估,但目前由于数据市场还尚未形成完善的交易体系,市场法的施行也存在诸多难点。
第四章 Twitter的数据资产市场化方法定价研究
本章内容主要是对Twitter的数据资产用市场化方法进行研究和讨论,分别对其本身上市以后的数据资产估值变化做纵向对比分析,以及与其他类似社交平台进行横向比较分析。
(一)纵向对比分析
我们判断,用市场法来对Twitter的数据资产是基于用户数、收入等因素,下面我们研究是否与上述两个指标相关。
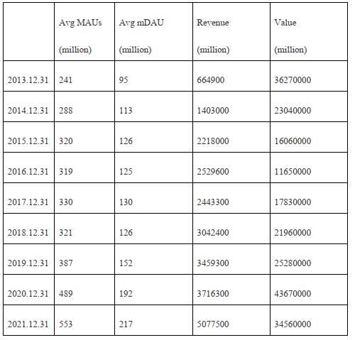
根据Twitter年报披露:在2018年之前Twitter评估公司表现的主要指标为MAUs(月活跃度),2019年之后Twitter不再公布MAUs,转而公布mDAUs(可货币化每日活跃用户)。mDAUs为排除掉各种水分且可变现的DAU,即可看到广告为Twitter创造收入的DAU。
在Twitter披露的年报里,对于MAUs和mDAU数据的报告范围为In the three months ended December 31(即最后一个季度的数据的平均值)

我们为了简化,做几个近似假设:
1. MAUs和mDAU之间的比例基本一致,所以我们利用2018年的比例关系将以上表格数据填满。
2.假设Twitter所有的市值均对应无形资产,把有形资产忽略不计。
3.假设Twitter的所有无形资产均为数据资产。(该假设依据为马斯克上台后,开除了大量的员工都没有影响Twitter的运营,所以在一定程度上说明,Twitter其他的知识产权、员工的能力等无形资产对于Twitter440亿美元的估值,影响不大)
在2、3的假设下,我们粗略的将市值等同于数据资产的value。
调整完之后:

我们把数据资产value作为被解释变量,我们将MAUs、mDAU和营业收入作为被解释变量做回归分析,根据梅特卡夫法则,互联网的价值随着用户数量的增长而呈算术级数增长或二次方程式的增长的规则,我们对用户的平方也做回归分析。
因为我们的MAUs、mDAU的计算是直接根据比例算出来的,所以这两个变量完全共线,完全等价,所以我们后边的计算和分析均只用mDAU。(具体回归的结果见附图)
第一步,我们直接对数据资产value做回归,经过分析:
收入revenue和数据资产value关系不显著,P>t=0.495。
日活用户mDAU和数据资产value关系在16%左右的显著水平的情况下显著,P>t=0.158。
日活用户的平方mDAU^2和数据资产value关系在12%左右的显著水平的情况下显著,P>t=0.117。
但是我们对数据资产value,就收入revenue、日活用户的平方mDAU^2做回归,P>F=0.0468在5%的显著水平下显著。
Value=2.3*10^7+1497.2* mDAU^2-10.9revenue
我们发现数据资产value对于这几个解释变量单独作用下显著性均不是太好。但是如果是用revenue和mDAU^2这两个变量同时解释value可以得到比较好的拟合结果,从回归的结果来看,日活用户的平方和数据资产成正相关,收入和数据资产成负相关。
第二步,因为Twitter2013年上市,在上市之后一定时期内,对于上市公司的价值有一个理性回归,我们剔除2013年刚上市股价的影响,引入一个哑变量dum2013,再次对数据资产value做回归。
收入revenue和数据资产value关系在11%左右的显著水平下显著,P>F=0.114。
Value=5948175+6.13*revenue
日活mDAU和数据资产value关系在2%左右的显著水平的情况下显著,P>F=0.0199。
Value=-9757524+230406*mDAU
日活的平方mDAU^2和数据资产value关系在2%左右的显著水平的情况下显著,P>F=0.0227。
Value=8413100+688.4*mDAU^2
我们对数据资产value,就收入revenue、日活的平方mDAU^2做回归,在5%左右的显著水平下显著,P>F=0.0521。
Value=1.4*10^7+1119.6* mDAU^2-5.2revenue
可以看到,剔除2013年数据之后,我们发现数据资产value对于这几个解释变量单独作用下显著性均有大幅改善,说明长期来看,市场对数据资产的估值和收入及日活人数有较强因果关系。
第三步,我们对被解释变量和解释变量都取对数ln,对估值的增长率做一个估计,同样因为Twitter2013年上市,在上市之后,市场对于上市公司的价值有一个理性回归,我们剔除2013年刚上市股价的影响,引入一个哑变量dum2013,再次对数据资产value取对数做回归。
收入revenue的增长率和数据资产value的增长率关系在21%左右的显著水平下显著,P>F=0.2145。
ln(value)=8+0.6*ln(revenue)
日活mDAU的增长率和数据资产value的增长率关系在4%左右的显著水平的情况下显著,P>F=0.0393。
ln(value)=10+1.4*ln(mDAU)
日活的平方mDAU^2的增长率和数据资产value的增长率关系在2%左右的显著水平的情况下显著,P>F=0.0227。
ln(value)=9.9+0.7*ln(mDAU^2)
我们对数据资产value的增长率,就收入的增长率、日活的平方的增长率做回归,在7%左右的显著水平下显著,P>F=0.072。
ln(value)=14.7+1.16*ln(mDAU^2)- 0.63*ln(revenue)
可以看到,对被解释变量和解释变量都取对数ln,对数据资产估值的增长率做一个估计后,单独收入的增长率对数据资产估值的增长率显著性不理想,但日活用户的增长率对数据资产估值的增长率显著性很强,能有效解释数据资产估值的变化。同样,用日活用户平方的增长率和收入增长率2个变量同时解释数据资产的估值变化,得到的结果显著性也较好。从回归的结果来看,日活用户的平方的增长率和数据资产增长率成正相关,收入的增长率和数据资产增长率成负相关。
经过分析得出以下结论:
1.剔除2013年刚上市当年的情况,用单一变量来解释Twitter的数据资产价值。Twitter的数据资产价值与日活用户的平方关系在2%左右的置信水平显著,与收入在11%左右的置信水平显著(显著性较弱)。用户的平方每增长1,数据资产增加668.4美元。
2.剔除2013年刚上市当年的情况,用单一变量来解释Twitter的数据资产价值增长率。Twitter的数据资产价值的增长率与日活用户的平方的增长率关系在2%左右的置信水平显著,与收入增长率在21%左右的置信水平显著(显著性较弱)。用户的平方每增长1%,数据资产增增长0.7%。
3.我们发现,用收入revenue和日活用户的平方mDAU^2这两个变量同时解释value可以得到非常好的拟合结果;用收入取对数ln(revenue)和日活用户的平方取对数ln(mDAU^2) 这两个变量同时解释数据资产取对数ln(value)也可以得到较好的拟合结果。
从回归的结果来看,日活用户的平方和数据资产成正相关,收入和数据资产成负相关;日活用户的平方的增长率和数据资产增长率成正相关,收入的增长率和数据资产的增长率成负相关。我们猜测,基于Twitter的广告推送业务的盈利模式,收入高是基于对于用户推送更多广告而产生的,Twitter在使用这种盈利模式过程中,可能会使得部分用户感到反感,从而反而降低了其数据资产的价值。
根据以上分析,如果按照2021年底的日活用户数217million,收入5077500 million,根据之前市场对于Twitter的估值应该为:
单独用2021年底的日活用户的平方来计算:
value=8413100+688.4*mDAU^2
value=40829168million=408亿美元
用2021年底的日活用户的平方和收入,两个变量来计算:
value=1.4*10^7+1119.6* mDAU^2-5.2revenue
value= 40317844.4million=403亿美元
最终马斯克用440亿美元收购Twitter,我们认为这是马斯克基于Twitter的市场估值法给出的合理范围内的定价。
此外,马斯克在接手Twitter之后,探索使用付费会员制等其他盈利方式,来为会员提供认证、减少广告、提升用户体验,也从侧面说明了我们对于之前Twitter盈利模式对其数据资产价值的破坏的判断有一定说服力。



(二)横向对比分析
互联网平台的数据资产定价与用户规模(常以DAU每日活跃使用量衡量)和用户价值(常以ARPU平均用户消费额)密不可分,两者的乘积即为收入,是社交平台变现的主要驱动因素,也是企业估值的重要参考。然而,即使使用mDAU替代DAU,挤掉用户流量数据中的水分,单纯地使用这两个量化指标并不能精确评估数据资产的价值,还需要考虑用户生态分布、产品使用粘性、社交网络关系等等复杂因素。
从用户规模看,Twitter以4.36亿位居全球15,体量与Facebook 相去甚远,与Snapchat, Pinterest 较为接近。值得一提的是,简单的以用户数量或推文数量衡量数据资产的规模并不准确,因为Twitter的用户生态呈现显著的头部效应,其少部分的机构账户获得大量流量资源和变现价值;从商业模式看,各平台用户变现的方式仍以广告和增值服务为主,作为社交媒体平台,Twitter重单向转推而轻双向互动,因而单用户变现能力远远落后于作为社交网络双向互动更多的Facebook,但仍高于同为社交媒体的Pinterest和作为社区产品的Snapchat。
各社交平台DAU数量对比 (2022年) 各社交平台单DAU广告收入对比(美元)

第五章 Twitter 在Web3.0下的数据资产确权与定价的探讨
马斯克长期以来在加密货币及区块链领域发声活跃,对于以区块链技术为基础的Web3.0生态有很强烈的参与意愿。我们有理由相信,马斯克收购Twitter之后,将会根据其对于Web3.0的理解对Twitter进行优化和改造。在此基础上,马斯克的收购或许为Twitter的数据资产确权和定价的挑战提供了新的畅想和解决思路。长期以来,以Twitter为代表的Web2.0公司提供了集约化的垄断交互平台,让使用者创作内容,通过海量数据的流转、交互和交易变现盈利,而无需对创作者进行补偿。数据的公有化和平台的中心化也造成了虚假账户泛滥、平台算法独裁等问题。根据马斯克将自己定位为“言论自由的绝对主义者”来看,其有意推动的Twitter向Web3.0的改革,可以实现社交网络的去中心化,使得数据资产不再为平台独有,而将Twitter打造成“数字的城市广场”,通过区块链网络实现流动并传递价值。我们根据Web3.0相关理论及实践可以大致推断,如果马斯克对于Twitter有相关改造计划,关于其数字资产的确权和定价可能有如下方式。
确权:使用者的ID可以作为钱包地址,原创推文可以作为独一无二的NFT加密上链,数据归属用户所有,不可以被平台肆意删除或篡改,从而明确数据资产的权属问题。
定价:同时,数字货币可以作为平台收费和分润的交易货币,用户可以出售付费内容或吸引打赏,从而明确数据资产的定价问题。
而Twitter平台则负责提供区块链底层基础设施服务,为每一笔数据资产的流转交易提供服务,作为”轻资产”平台给投资人更大的估值想象空间。
参考文献
[1] 中国资产评估协会. 资产评估专家指引第9号——数据资产评估. 2020.
[2] 数据资产化:数据资产确 认与会计计量研究报告. 2020 .
[3] 德勤-阿里研究院. 数据资产化之路-数据资产的估值与行业实践. 2019.
[4] 瞭望智库与中国光大银行. 商业银行数据资产估值白皮书. 2021.
[5] Twitter. Twitter 2021 Fiscal Report. 2022.
[6] Twitter. Twitter 2020 Fiscal Report. 2021.
[7] Twitter. Twitter 2019 Fiscal Report. 2020.
[8] Twitter. Twitter 2018 Fiscal Report. 2019.
[9] Twitter. Twitter 2017 Fiscal Report. 2018.
[10] Twitter. Twitter 2016 Fiscal Report. 2017.
[11] Twitter. Twitter 2015 Fiscal Report. 2016.
[12] Twitter. Twitter 2014 Fiscal Report. 2015.
[13] Twitter. Twitter 2013 Fiscal Report. 2014.
本文系学生个人观点,不代表清华大学五道口金融学院及金融MBA教育中心立场,转载请联系作者授权。